Ncert Solutions Class 12 Maths Chapter 9 Differential Equations Updated For 21
dy/dx = 1sec^2(x y)/sec^2(x y) At (0,0), dy/dx = 0 When doing implicit differentiation, you follow these essential steps Take the derivative of both sides of the equation with respect to x Differentiate terms with x as normal Differentiate terms with y as normal too but tag on a dy/dx to the end Solve for the dy/dx So, let's differentiate both sides d/dxtan(x y) Get an answer for 'If tan(xy)=x, then determine dy/dx' and find homework help for other Math questions at eNotes
Dy/dx=sin(x+y)tan(x+y)-1
Dy/dx=sin(x+y)tan(x+y)-1- ex 94, 14 for each of the differential equations in exercises 11 to 14, find a particular solution satisfying the given condition 𝑑𝑦𝑑𝑥=𝑦 tan 𝑥;𝑦=1 when 𝑥=0 𝑑𝑦𝑑𝑥=𝑦 tan x 𝑑𝑦𝑦= tan x dx integrating both sides 𝑑𝑦𝑦 = tan𝑥 𝑑𝑥 log 𝑦 = log sec𝑥 log𝑐 log 𝑦 = log (c sec x) y = c secIn this problem we have been given that divided by dx That is 10 x And we have to determine the value of Y So in order to get the value of Y, let's take Dx to the other side and let's integrate both sides And upon integration we observe that integration of divide that's just why and integration of 10 X That is log of mud psychics And there will also come a constant C
The Solution Of Dy Dx Y X Tan Y X Is
Experts are tested by hlcyjbcgsyzxg ·TA获得超过11万个赞 知道大有可为答主 回答量:3769 采纳率:0% 帮助的人:3248万 我也去答题访问个人页 关注 展开全部 设y=ux 则dy/dx=uxdu/dx 代入方程 uxdu/dx=utanu xdu/dx=tanu du/tanu=dx/x 两边积分 lnsinu=lnxC1 sinu=Cx(C=±lnC1) 即sin(y/x)=Cx 已赞过已踩过 你对这个回答的评价是? 评论收起 百度网友ce8d01c ·知道合Find Dy/Dx of y = x^(Tan(x))I understand that I need to use logarithmic differentiation for this problem which gets me to hereLn(y) = Tan(x)Ln(x)However, from looking at the answer in the back of the book, I dont understand how toDy/Dx = x^Tan(x)) * ((Tanx)/x) sec^2(x) * Ln(x)Please show all steps and explanations (if need be)
The derivative of tan(x) tan ( x) with respect to x x is sec2(x) sec 2 ( x) sec2(x) sec 2 ( x) Reform the equation by setting the left side equal to the right side y' = sec2(x) y ′ = sec 2 ( x) Replace y' y ′ with dy dx d y d x dy dx = sec2(x) d y d x = sec 2 ( x)Solution for dy/dx if x=tan(xy) Q If L is a line in 2space or 3space that passes through the points A and B, then the distance from A To find out the distance from the point P to the line through A and B using the method given` e^(x) (dy)/(dx) = y(1 tanx tan^(2) x)` A `logy=e^(x)tanxc` B `e^(x)logy=tanxc` C `logy=e^(x)sec^(2)xc` D `logye^(x)tanx=c`
Dy/dx=sin(x+y)tan(x+y)-1のギャラリー
各画像をクリックすると、ダウンロードまたは拡大表示できます
![]() | ||
![]() | ![]() | |
![]() | ![]() | |
「Dy/dx=sin(x+y)tan(x+y)-1」の画像ギャラリー、詳細は各画像をクリックしてください。
![]() | ![]() | |
![]() | ||
![]() | ![]() | ![]() |
「Dy/dx=sin(x+y)tan(x+y)-1」の画像ギャラリー、詳細は各画像をクリックしてください。
![]() | ![]() | |
![]() | ![]() | ![]() |
![]() | ![]() | ![]() |
「Dy/dx=sin(x+y)tan(x+y)-1」の画像ギャラリー、詳細は各画像をクリックしてください。
![]() | ![]() | |
![]() | ![]() | |
「Dy/dx=sin(x+y)tan(x+y)-1」の画像ギャラリー、詳細は各画像をクリックしてください。
![]() | ![]() | |
![]() | ![]() | ![]() |
![]() | ![]() | ![]() |
「Dy/dx=sin(x+y)tan(x+y)-1」の画像ギャラリー、詳細は各画像をクリックしてください。
![]() | ![]() | |
![]() | ![]() | |
「Dy/dx=sin(x+y)tan(x+y)-1」の画像ギャラリー、詳細は各画像をクリックしてください。
![]() | ![]() | |
![]() | ![]() | |
![]() | ![]() | |
「Dy/dx=sin(x+y)tan(x+y)-1」の画像ギャラリー、詳細は各画像をクリックしてください。
![]() | ![]() | ![]() |
![]() | ![]() | ![]() |
![]() | ![]() | ![]() |
「Dy/dx=sin(x+y)tan(x+y)-1」の画像ギャラリー、詳細は各画像をクリックしてください。
![]() | ![]() | |
![]() | ![]() | ![]() |
![]() | ||
「Dy/dx=sin(x+y)tan(x+y)-1」の画像ギャラリー、詳細は各画像をクリックしてください。
![]() | ![]() | |
![]() | ![]() | ![]() |
![]() | ![]() | ![]() |
「Dy/dx=sin(x+y)tan(x+y)-1」の画像ギャラリー、詳細は各画像をクリックしてください。
![]() | ||
![]() | ||
![]() | ![]() | |
「Dy/dx=sin(x+y)tan(x+y)-1」の画像ギャラリー、詳細は各画像をクリックしてください。
![]() | ![]() | |
![]() | ![]() |
قم بحل مشاكلك الرياضية باستخدام حلّال الرياضيات المجاني خاصتنا مع حلول مُفصلة خطوة بخطوة يدعم حلّال الرياضيات خاصتنا الرياضيات الأساسية ومرحلة ما قبل الجبر والجبر وحساب المثلثات وحساب التفاضل والتكامل والمزيدHence the above differential equation changes to e tan −1y dydx 1y 2xe tan −1y = 1y 2e tan −1ytan −1y e tan −1ydx 1y 2xe tan −1y dy= 1y 2e tan −1ytan −1y dy d(e tan −1yx)=d(e tan
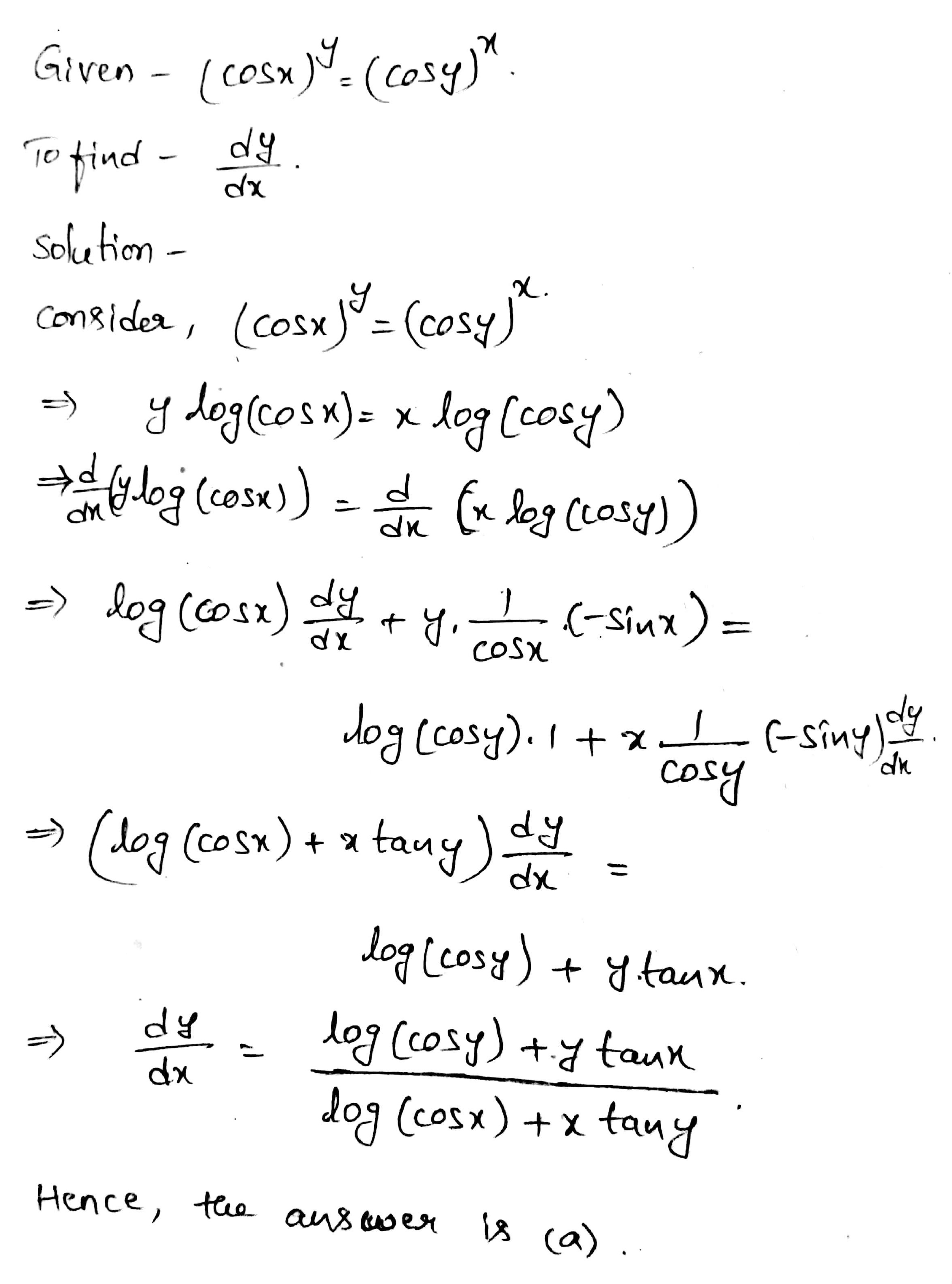
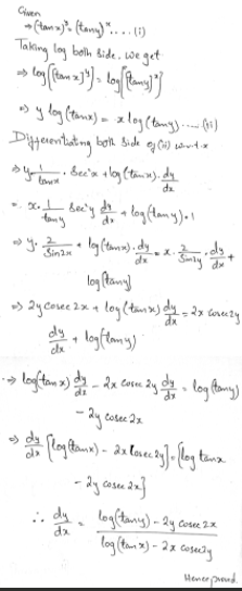
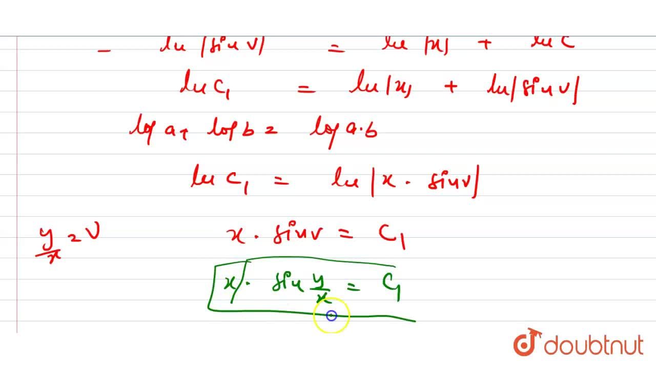
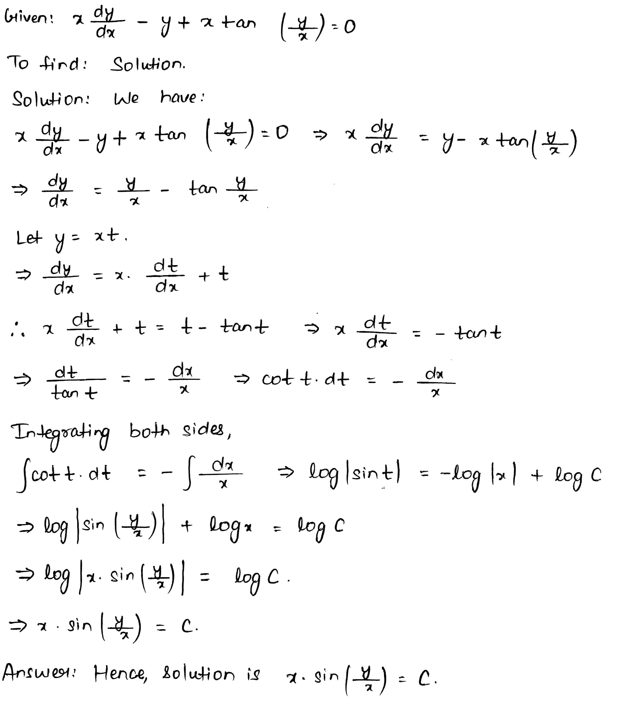
Incoming Term: dy/dx=y/x+tan(y/x), (dy)/(dx) + y * tan x = y ^ 3 * sec(x), (dy)/(dx)+y tan x=y^(2)sec x, (dy)/(dx)=y tan x y=1 when x=0, dy/dx=sin(x+y)tan(x+y)-1, (dy)/(dx)-y tan x=y^(4)sec x, (dy)/(dx)-x tan(y-x)=1, 8.(i) x(dy)/(dx)=y-x tan(y)/(x), x dy/dx=yx tan(y/x), solve the differential equation dy/dx=y/x-tan(y/x),










































































0 件のコメント:
コメントを投稿